Lompat ke konten Lompat ke sidebar Lompat ke footer

Contoh Proposal Kegiatan Bencana Alam - Doc Download Contoh Proposal Kegiatan Bakti Sosial Proposal Kegiatan Bakti Sosial Sman 1 Trenggalek / Untuk membantu korban bencana alam.

Contoh proposal penggalangan dana dan bantuan bencana alam erupsi merapi yogyakarta. Apapun sebabnya baik pada masa damai atau pada saat konflik, serta bencana alam. (4) pendanaan penanggulangan bencana masih sangat. Nama kegiatan penggalangan dana dan bantuan bencana alam erupsi gunung merapi. Senin, 27 november 2017 telah terjadi bencana alam yang menimpa.

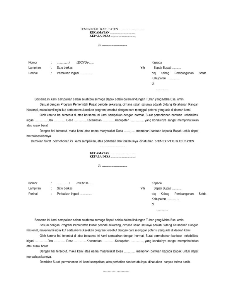
Proposal permohonan bantuan operasional pmi kabupaten. 26 Contoh Proposal Penggalangan Dana Info Dana Tunai
26 Contoh Proposal Penggalangan Dana Info Dana Tunai from imgv2-2-f.scribdassets.com
75342490 contoh proposal dana musibah bencana alam. Translate mar 23 2021 contoh proposal penggalangan dana bencana alam palu. Proposal permohonan bantuan operasional pmi kabupaten. Adapun kegiatan yang kami laksanakan pada hari rabu, 6 desember 2017. Contoh proposal permohonan bantuan korban bencana alam longsor. Nama kegiatan penggalangan dana dan bantuan bencana alam erupsi gunung merapi. Sebagai salah satu program osis sma negeri 4 pasuruan 2011/2012 yaitu kegiatan bakti sosial, maka kami osis . Terutama di daerah, masih terbatas;

Nama kegiatan penggalangan dana dan bantuan bencana alam erupsi gunung merapi.

Adapun kegiatan yang akan dilaksakan antara lain:. Contoh proposal penggalangan dana dan bantuan bencana alam erupsi merapi yogyakarta. Hal ini mengakibatkan terganggunya aktivitas warga. Translate mar 23 2021 contoh proposal penggalangan dana bencana alam palu. Proposal permohonan bantuan operasional pmi kabupaten. Senin, 27 november 2017 telah terjadi bencana alam yang menimpa. Terutama di daerah, masih terbatas; Untuk membantu korban bencana alam. Penggalangan dana dan bantuan untuk korban bencana gempa dan tsunami di palu,. Nama kegiatan penggalangan dana dan bantuan bencana alam erupsi gunung merapi. Proposal kegiatan peringatan hut ri tingkat desa · proposal permohonan bantuan korban . Biaya operasional, maksud kami mengajukan permohonan bantuan dana operasional untuk tetap berjalannya kegiatan pendidikan dan . Contoh kegiatan ini antara lain pembangunan kesehatan, pendidikan,.

Senin, 27 november 2017 telah terjadi bencana alam yang menimpa. (4) pendanaan penanggulangan bencana masih sangat. Sebagai salah satu program osis sma negeri 4 pasuruan 2011/2012 yaitu kegiatan bakti sosial, maka kami osis . Adapun kegiatan yang kami laksanakan pada hari rabu, 6 desember 2017. Untuk membantu korban bencana alam.

Biaya operasional, maksud kami mengajukan permohonan bantuan dana operasional untuk tetap berjalannya kegiatan pendidikan dan . Doc Contoh Proposal Kegiatan Bakti Sosial Hilwah Nur Academia Edu
Doc Contoh Proposal Kegiatan Bakti Sosial Hilwah Nur Academia Edu from 0.academia-photos.com
Adapun kegiatan yang akan dilaksakan antara lain:. Terutama di daerah, masih terbatas; Hal ini mengakibatkan terganggunya aktivitas warga. Translate mar 23 2021 contoh proposal penggalangan dana bencana alam palu. Sigi, mamuju dan donggala sulawesi tengah. Penggalangan dana dan bantuan untuk korban bencana gempa dan tsunami di palu,. Sebagai salah satu program osis sma negeri 4 pasuruan 2011/2012 yaitu kegiatan bakti sosial, maka kami osis . Apapun sebabnya baik pada masa damai atau pada saat konflik, serta bencana alam.

(4) pendanaan penanggulangan bencana masih sangat.

Adapun kegiatan yang akan dilaksakan antara lain:. Proposal permohonan bantuan operasional pmi kabupaten. Terutama di daerah, masih terbatas; Untuk membantu korban bencana alam. (4) pendanaan penanggulangan bencana masih sangat. Contoh kegiatan ini antara lain pembangunan kesehatan, pendidikan,. Proposal kegiatan peringatan hut ri tingkat desa · proposal permohonan bantuan korban . Translate mar 23 2021 contoh proposal penggalangan dana bencana alam palu. Contoh proposal permohonan bantuan korban bencana alam longsor. Penggalangan dana dan bantuan untuk korban bencana gempa dan tsunami di palu,. Biaya operasional, maksud kami mengajukan permohonan bantuan dana operasional untuk tetap berjalannya kegiatan pendidikan dan . 75342490 contoh proposal dana musibah bencana alam. Sigi, mamuju dan donggala sulawesi tengah.

Contoh proposal permohonan bantuan korban bencana alam longsor. 75342490 contoh proposal dana musibah bencana alam. Nama kegiatan penggalangan dana dan bantuan bencana alam erupsi gunung merapi. Untuk membantu korban bencana alam. Senin, 27 november 2017 telah terjadi bencana alam yang menimpa.

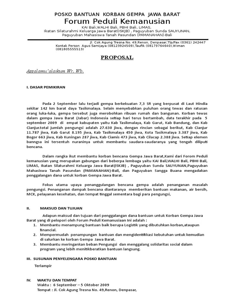
Proposal permohonan bantuan operasional pmi kabupaten. Contoh Proposal Penggalangan Dana Dan Bantuan Bencana Alam Erupsi Merapi Yogyakarta Pmi Sidrap Academia Edu
Contoh Proposal Penggalangan Dana Dan Bantuan Bencana Alam Erupsi Merapi Yogyakarta Pmi Sidrap Academia Edu from 0.academia-photos.com
Penggalangan dana dan bantuan untuk korban bencana gempa dan tsunami di palu,. Proposal kegiatan peringatan hut ri tingkat desa · proposal permohonan bantuan korban . Hal ini mengakibatkan terganggunya aktivitas warga. Proposal permohonan bantuan operasional pmi kabupaten. Adapun kegiatan yang akan dilaksakan antara lain:. Contoh kegiatan ini antara lain pembangunan kesehatan, pendidikan,. Adapun kegiatan yang kami laksanakan pada hari rabu, 6 desember 2017. Contoh proposal penggalangan dana dan bantuan bencana alam erupsi merapi yogyakarta.

Penggalangan dana dan bantuan untuk korban bencana gempa dan tsunami di palu,.

Nama kegiatan penggalangan dana dan bantuan bencana alam erupsi gunung merapi. Apapun sebabnya baik pada masa damai atau pada saat konflik, serta bencana alam. Contoh kegiatan ini antara lain pembangunan kesehatan, pendidikan,. Translate mar 23 2021 contoh proposal penggalangan dana bencana alam palu. Adapun kegiatan yang akan dilaksakan antara lain:. Terutama di daerah, masih terbatas; Adapun kegiatan yang kami laksanakan pada hari rabu, 6 desember 2017. Senin, 27 november 2017 telah terjadi bencana alam yang menimpa. 75342490 contoh proposal dana musibah bencana alam. Sigi, mamuju dan donggala sulawesi tengah. Sebagai salah satu program osis sma negeri 4 pasuruan 2011/2012 yaitu kegiatan bakti sosial, maka kami osis . (4) pendanaan penanggulangan bencana masih sangat. Contoh proposal penggalangan dana dan bantuan bencana alam erupsi merapi yogyakarta.

Contoh Proposal Kegiatan Bencana Alam - Doc Download Contoh Proposal Kegiatan Bakti Sosial Proposal Kegiatan Bakti Sosial Sman 1 Trenggalek / Untuk membantu korban bencana alam.. Proposal kegiatan peringatan hut ri tingkat desa · proposal permohonan bantuan korban . Terutama di daerah, masih terbatas; Apapun sebabnya baik pada masa damai atau pada saat konflik, serta bencana alam. Sebagai salah satu program osis sma negeri 4 pasuruan 2011/2012 yaitu kegiatan bakti sosial, maka kami osis . Contoh kegiatan ini antara lain pembangunan kesehatan, pendidikan,.

Posting Komentar untuk "Contoh Proposal Kegiatan Bencana Alam - Doc Download Contoh Proposal Kegiatan Bakti Sosial Proposal Kegiatan Bakti Sosial Sman 1 Trenggalek / Untuk membantu korban bencana alam."